A large population-based study suggests that receiving the shingles vaccine may be associated with slower biological aging at the molecular level (Figure 1). Researchers analysed data from nearly 4,000 U.S. adults aged 70 and older and found that vaccinated individuals showed healthier profiles of inflammation, gene expression, and epigenetic aging compared with those who were unvaccinated.

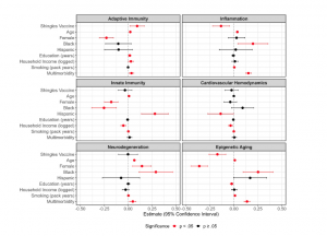
Figure 1: Figure 1. Regression Coefficients for the Association of Shingles Vaccination with Standardized. Scores of Seven Biological Domains and the Composite Biological Aging, Adjusted for Covariates.
Using blood-based biomarkers rather than medical records alone, the study assessed multiple dimensions of biological aging, including inflammatory markers, DNA methylation clocks, and transcriptomic aging signatures. Across these measures, shingles vaccination was consistently linked to modest but statistically robust indicators of slower aging. Vaccinated participants showed reduced systemic inflammation and slower epigenetic and transcriptomic aging, suggesting a slower pace of age-related molecular change.
The timing of vaccination appeared to matter. Changes in epigenetic and gene expression aging markers were strongest within the first three years after vaccination, while reductions in inflammatory and innate immune aging emerged later. These patterns support the idea that suppressing latent reactivation of the shingles virus may reduce long-term inflammatory stress, a key driver of aging-related disease.
Importantly, the study did not find significant associations between shingles vaccination and blood markers of neurodegeneration or cardiovascular function. This indicates that the observed benefits reflect changes in underlying aging biology rather than direct effects on specific disease pathways.
Although the findings are observational and cannot prove causation, they add to growing evidence that vaccines may offer benefits beyond infection prevention. The results suggest that shingles vaccination could act as a potential “geroprotective” intervention, influencing core biological processes linked to aging. Future longitudinal and experimental studies will be needed to determine whether these molecular effects translate into meaningful improvements in health span and clinical outcomes.
Journal article: Kim, J. K., et al. 2026. Association between shingles vaccination and slower biological aging: Evidence from a U.S. population-based cohort study. The Journals of Gerontology, Series A: Biological Sciences and Medical Sciences.
Summary by Stefan Botha










